Nel marzo del 1985 Primo Levi accettò di scrivere la Prefazione all’edizione Einaudi dell’autobiografia di Rudolf Höss, Comandante ad Auschwitz, redatta durante la detenzione, in attesa della condanna a morte eseguita in quello stesso campo di cui fu primo e solerte comandante, il 16 aprile 1947.
Cercando di riflettere su Höss e su altri criminali di guerra come lui, e forse nel tentativo di comprenderne le azioni, Levi scriveva queste parole:
Höss è stato uno dei massimi criminali mai esistiti ma non era fatto di una sostanza diversa da quella di qualsiasi altro borghese di qualsiasi altro paese; la sua colpa, non scritta nel suo patrimonio genetico né nel suo esser nato tedesco, sta tutta nel non aver saputo resistere alla pressione che un ambiente violento aveva esercitato su di lui, già prima della salita di Hitler al potere.
La strage di Massaciuccoli
Il 1 settembre del 1944 un reparto delle SS in ritirata verso nord fece irruzione all’interno della frazione di Massaciuccoli, in provincia di Lucca, con l’ordine di sgomberare tutti i civili. Furono portati a termine ripetuti rastrellamenti e saccheggi per ripulire la zona ma fu risparmiata Villa Minutoli, all’interno della quale vivevano il conte e la contessa proprietari, altre nobildonne e parte della servitù. Molti di loro erano anziani, ammalati o comunque incapaci di potersi muovere e certamente non costituivano alcuna minaccia per le sorti della guerra. Nella villa, autorizzate dal comando tedesco, rimasero quindi sette persone: il conte Eugenio Minutoli Tegrimi (48 anni, invalido per una importante ferita riportata l’anno precedente), la baronessa Elasa Brusch di Neuberg (45 anni) con la figlia Emanuela (6 anni e gravemente ammalata), la cameriera Marianna Gabrielli (malata di cuore) con i figli Emanuele e Franca (anni 15 e 10). Erano state autorizzate a rimanere anche la contessa Chiquita Minutoli Tegrimi, poi cacciata dal maresciallo tedesco in comando. In un casale vicino la villa rimasero anche i coniugi novantenni Egisto e Olimpia Mariani. Nascosti nei pressi della villa c’erano infine anche altre tre persone della servitù che speravano di trovare salvezza in questa presunta zona franca.
Purtroppo, con il procedere dei rastrellamenti questi ultimi tre furono scoperti e condotti su, assieme ad altre dodici persone, in un bosco della vicina località Compignano.
Nonostante le rassicurazioni le truppe tedesche fecero irruzione nella villa e lì si compì il massacro deliberato quanto ingiustificato dei suoi abitanti; il luogo fu dato alle fiamme e non fu possibile che ritrovare pochi resti umani carbonizzati.
Le fiamme si comunicarono al soffitto, e quindi dal soprastante legnaio, cosicché andò completamente distrutto il locale dove avvenne l’eccidio e quello soprastante, mentre nella sottostante rimessa si riscontrano soltanto traccie [sic] d’incendio.
Nell’angolo opposto alla porta del locale ove avvenne il misfatto, a seguito di una lunga e diligente ricerca, sono state trovate delle ossa completamente calcificate ed altre carbonizzate, ciò che ha reso impossibile, e nel modo più assoluto, procedere al riconoscimento delle singole vittime.
Si è trovato solo un troncone di busto carbonizzato e non ancora completamente distrutto che, secondo il parere del medico, è di attribuirsi al giovane di 15 anni.
Si sono trovati soltanto alcuni oggetti metallici, parzialmente fusi, riconosciuti appartenenti alle vittime.[pp. 00092-00093; Lettera del Comandante dei Carabinieri, Luigi Castellani, Lucca 15 settembre 1944]
Ma su, a Compignano cosa accadde?
La strage di Compignano
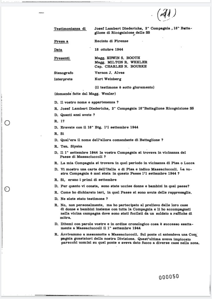
Il 18 ottobre del 1944 il Magg. Edwin S. Booth, il Magg. Milton R. Wexler e il Cap. Charles N. Bourke, membri della Commissione di Indagine alleata sui crimini di guerra nazisti interrogarono il soldato Josef Lambert Diederichs, della 2a Compagnia, 16° Battaglione di Ricognizione delle SS, prigioniero di guerra e ritenuto a conoscenza dei fatti di Massaciuccoli-Compignano.
L’interrogatorio fu condotto dal Maggiore Wexler e ne riporto i passaggi più significativi.
D. Ditemi con parole vostre e in ordine cronologico cosa è successo esattamente a Massaciuccoli il 1° settembre 1944.
R. Arrivammo a mezzanotte a Massaciuccoli. Sul ponte ci attendeva una Compagnia guastatori della nostra Divisione. Quest’ultima aveva impiccato parecchi uomini su quel ponte e aveva dato fuoco a diverse case nella zona.
Questo Paese è proprio quello in cui si sono verificati diversi avvenimenti e di cui descriverò quanto è a mia conoscenza. Si trova vicino a un lago. Insieme con detta Compagnia i nostri 2 plotoni entrarono in paese, prelevando tutte le donne e i bambini, dalle loro case. Le donne e i bambini, riuniti in un bosco vicino furono fucilati da un soldato della nostra Compagnia.D. Siete stato testimone dell’uccisione?
R. Prima dell’uccisione la nostra Compagnia si ritirò.
D. Avete sentito il fuoco della mitragliatrice?
R. L’ho sentito con le mie orecchie.
D. Avete visto qualcuno dei cadaveri?
R. No.
D. Avete sentito dire che erano stati uccisi?
R. Il soldato Drexler del 1° plotone, 2a Compagnia del 16° Btg. SS, ci disse più tardi di essere stato lui.
D. Il soldato Drexler disse che gli era stato ordinato di uccidere donne e bambini?
R. Il soldato Drexler fu prima interrogato dal Ten. Siyska se se la sentiva di uccidere a sangue freddo donne e bambini. Egli rispose “No”. Il Tenente gli rispose “Se non lo potete fare non siete un soldato”. Drexler, come per dimostrare di essere un soldato, accettò la sfida.
D. Drexler ha detto quante persone in tutte uccise?
R. Drexler disse che tutte le persone riunite da noi nel bosco erano state uccise. Poi soggiunse “Da questo momento non potrò più uccidere un essere umano”.
[Seguono alcune domande del Magg. Wexler nel tentativo di accertare eventuali responsabilità e connessioni con la strage di Villa Minutoli, dopodiché l’interrogatorio riprende sul massacro di Compignano.]
D. Potete dirmi quante persone erano state raccolte nel bosco?
R. Sì, circa 30.
D. E il soldato Drexler, dichiarò di essere stato lui a ucciderle?
R. Drexler disse di averlo fatto e aggiunse che dopo aver sparato a 3 o 5 donne si rivolse al Comandante e disse: “Non posso più continuare” A queste parole, il comandante rispose “Se non puoi uccidere donne e bambini non sei un vero soldato”. Drexler continuò a uccidere.
D. Delle 30 persone riunite nel bosco, sapete dirmi quante erano le donne?
R. Circa 19 donne e 11 bambini.
D. Come si chiamava il comandante del vostro Battaglione?
R. Maggiore Reader a cui è stato amputato il braccio sinistro.
Dopodiché l’interrogatorio prosegue su altri fatti di sangue compiuti in lucchesia nei mesi immediatamente precedenti, tra i quali il terribile eccidio di Sant’Anna di Stazzema.
Queste pagine agghiaccianti sono parte di uno dei fascicoli occultati nel famigerato Armadio della vergogna, relativo alle rappresaglie compiute ai danni del popolo italiano dalle forze di occupazione nazi-fasciste. Le prime testimonianze furono raccolte dai Carabinieri del Gruppo di Lucca e quindi inviate al Comando Alleato che si occupava delle indagini sulle stragi naziste; alla fine dell’istruttoria i fascicoli vennero trasferiti alla Procura Generale Militare del Regno, Ufficio procedimenti contro criminali di guerra tedeschi e poi nel 1946 alla Procura generale Militare della Repubblica. Dopo una serie di passaggi di consegne sempre più nebulosi, queste pagine, assieme ad altre migliaia scomparvero nel nulla per tornare alla luce solo nel 1995.
La Procura militare di La Spezia recepì e protocollò questo incartamento il 2 luglio 1996 e nel 2001 avviò il Procedimento penale per il reato di Violenza con omicidio, come si legge nel capo di imputazione: “Massacro di civili italiani da parte di Johann Ernst e Schuster Johann”. Nello specifico, fu chiesta l’archiviazione poiché i responsabili erano deceduti.
Le pagine di questi verbali, un tempo più facilmente reperibili, mi hanno sempre colpito molto. Intanto per l’aspetto esteriore e formale: io ho trovato i pdf tratti dalla scansione delle pagine originali, con le macchie, gli strappi, le scoloriture che la Storia ha sovrapposto nei decenni; mi ha sempre colpito il testo dattilografato, i piccoli errori di battitura talvolta corretti talvolta no. Insomma, per farla breve hanno tutto il fascino dei documenti storici. Ci sono poi le sottolineature degli inquirenti, le loro glosse e i loro appunti. Tutto incredibilmente avvincente.
E poi si inizia a leggere.
Allora ci rendiamo conto che che quelle carte hanno una voce propria che grida con forza nel tentativo di far riemergere una verità scioccante. Sono pagine che grondano sangue, violenza folle, malvagità, disprezzo della vita umana, bestialità e mostruosità. Quei fogli divengono carne viva e persone: emerge il dolore dei testimoni sopravvissuti spesso per cause del tutto fortuite – in particolare i racconti dei superstiti all’eccidio di Sant’Anna di Stazzema lasciano pietrificati – ma soprattutto raccontano di coloro che furono barbaramente assassinati, raccontano di luoghi dai quali fu strappata la vita per mai più ritornarvi, come nelle frazioni di Sant’Anna di Stazzema o sopra Marzabotto.
Diviene impossibile sottrarsi all’orrore che vediamo prendere vita attorno scorrendo quelle righe dattiloscritte o le testimonianze recapitate a mano e scritte e penna su fogli di fortuna, pur di far conoscere la verità.
E in questo caso particolare si percepisce quasi l’imbarazzo del Maggiore statunitense Wexler che domanda più volte e chiede conferma di cosa accadde a Massaciuccoli e Compignano, piccole (piccolissima la seconda) comunità al tempo agricole, in pianura Massaciuccoli, sulla riva del Lago di Giacomo Puccini, e alle sue spalle in cima a una collina Compignano, tra boschi di castagni secolari.
Dopo aver letto l’interrogatorio, credo sia chiaro il motivo della citazione da Primo Levi in apertura, ma vorrei puntualizzare alcuni dettagli. Bisogna innanzitutto ricordare che il Codice militare tedesco in vigore durante la Seconda guerra mondiale prevedeva il diritto di rappresaglia purché questa fosse proporzionata al torto subito e quindi le decisioni prese nell’estate di sangue del 1944 ai danni dei civili italiani erano ovviamente del tutto illegali. Quindi i soldati tedeschi avrebbero potuto rifiutarsi di eseguire gli ordini senza incorrere in alcuna sanzione. Ma un soldato era in grado di valutare e decidere? Poteva reggere la pressione del comandante? Il Codice militare, per venire incontro alle necessità della guerra durante la quale spesso è necessario decidere in fretta per fronteggiare un nuovo scenario, aveva deresponsabilizzato la truppa per cui solo la catena di comando era eventualmente perseguibile per i reati commessi.
Il Tenente Siyska, che a sua volta aveva ricevuto l’ordine dal Maggiore Walter Reder (l’assassino di oltre mille civili nell’eccidio di Marzabotto), sapeva benissimo che non poteva comandare a Drexler di sparare a sangue freddo su donne e bambini poiché quest’ordine era palesemente illegale e quindi gli chiese la disponibilità e di fronte al rifiuto del soldato ricorre alla pressione psicologica: essere o non essere agli occhi dei suoi superiori un buon soldato.
Intanto è sconcertante come tale qualifica derivasse dalla dimostrazione di poter mitragliare senza battere ciglio donne e bambini ma, tanto per fare un esempio, le conversazioni intercettate segretamente nelle prigioni inglesi fra aviatori tedeschi abbattuti e catturati lasciano ben più allibiti, come nel caso del pilota che chiedeva all’altro se aveva mai provato la soddisfazione di mitragliare in picchiata la gente che fuggiva nelle strade (H. Welzer, S. Neitzel, Soldaten: Le intercettazioni dei militari tedeschi prigionieri degli Alleati). Alla luce di queste rivelazioni, la risposta di Drexler era tutt’altro che scontata.
Tuttavia per dimostrare di essere un vero soldato mise da parte la coscienza, prese mitragliatore e caricatori e andò. Anche il suo ultimo tentativo di rimanere umano fallì, ovvero quando si fermò dopo aver assassinato un certo numero di donne, dichiarando di non poter proseguire. Di nuovo fu vagliata la sua fedeltà e allora il soldato finì quanto aveva iniziato.
Mi ha sempre imbarazzato la frase che pronunciò al compagno al suo ritorno: “Da questo momento non potrò più uccidere un essere umano” ma non è questa la sede per discutere il mestiere delle armi. Ammettiamo per un attimo la legittimità della guerra, l’uccidere il nemico, tutto quello che si vuole; forse Drexler fino ad allora era stato veramente un buon soldato – ripeto, è una definizione spiazzante che mi mette in crisi – ma quel giorno si è trasformò in un assassino spietato e brutale, per suo stesso consenso e volontaria partecipazione. Come per Rudolf Höss, la sua scelta di sparare non fu dettata né dalla genetica né dal suo essere tedesco ma perché non seppe dire di no quando fu il momento.
Quel giorno la sua idea di guerra e la sua vita cambiarono per sempre. Il soldato Drexler era diventato a tutti gli effetti un mostro criminale a dispetto di ogni codice militare e non lo era diventato nella concitazione e nel caos di una furiosa battaglia, tra spari, esplosioni, paura, adrenalina e istinto di sopravvivenza.
Lui saliva armato verso Compignano, fra il cinguettio degli uccelli, lo specchio lucente del Lago di Massaciuccoli sotto di sé e il lucore del mare della Versilia all’orizzonte. Infine era arrivato lassù e adesso che era lì, attorno a lui, il cinguettio degli uccelli probabilmente era cessato: ciò che sentiva dentro di sé non lo sapremo mai, ciò che udiva era soltanto il pianto confuso e disperato di diciannove donne e undici bambini. Ma quello, almeno quello, sarebbe finito presto.
Non sappiamo cosa ne fu di lui, se sopravvisse alla guerra oppure no; il grande silenzio che si sparse assieme al sangue innocente fra i castagni di Compignano infine ha ingoiato anche lui, per sempre.



Sono d’accordo con te: nella sua perfidia il tenente Siyska si è dimostrato un fine psicologo, perché è riuscito a trovare le parole giuste per far compiere ad un suo sottoposto un’azione che non avrebbe mai compiuto spontaneamente.
Anche a scuola situazioni come questa si creano molto frequentemente: il capetto della classe è spesso l’alunno più malvagio, e trascina nelle sue azioni malefiche dei ragazzi assolutamente normali, che senza la sua pessima influenza non avrebbero mai neanche pensato le cattiverie compiute su suo ordine. E’ su questi ragazzi normali che bisogna fare leva per smantellare il branco, facendogli capire che si sono messi su una strada sbagliata e convincendoli a uscire dal gruppo: in questo modo il capo rimarrà con pochi fedelissimi, poi probabilmente anche loro lo molleranno e alla fine si ritroverà solo come un cane. A quel punto lui stesso capirà che se è finito in quel modo deve aver sbagliato qualcosa, e quindi comincerà a comportarsi in maniera migliore.
Messa così sembra semplice, ma in verità può darsi benissimo che un branco rimanga in piedi anche per anni. Talvolta succede perché nessuno si prende la briga di smantellarlo, talvolta perché il capetto della classe ha una tale capacità di intimidazione o di seduzione che non si riesce ad isolarlo in nessun modo.
P.S.: Chiaramente per seduzione intendo abilità nel portare i compagni dalla propria parte, non seduzione nel senso classico del termine.
"Mi piace"Piace a 1 persona
E’ proprio così, ed è questo che mi spaventa; di più: mi atterrisce. Nella nostra vita normale d’ogni giorno, chi mai, razionalmente, immaginerebbe di poter compiere atti simili. Mi lì, allora, in quella precisa situazione: cosa avrei fatto io? Mi capita spesso di pensare a fine giornata alle scelte fatte da quando mi sono svegliato, alcune inconsapevoli, altre più meditate. E magari mi pento di alcune e cerco il modo di rimediare. Talvolta l’altra strada è vicina da raggiungere e basta faticare un po’ contro corrente e imboccarla. Altre volte, dopo tante scelte troppo disinvolte, si rischia di smarrirsi, e ritrovare la via diventa impossibile. Grazie per il tuo commento.
"Mi piace""Mi piace"
Il fatto che tu ti penta di alcune tue azioni e cerchi di rimediare è positivo, perché presuppone che tu abbia l’umiltà di ammettere i tuoi errori, e ti assicuro che questa è una qualità molto rara. Conosco moltissime persone incapaci di ammettere di aver sbagliato anche a se stesse, e anche davanti all’evidenza più plateale.
L’ex ministra Azzolina è un esempio lampante. L’ho sentita parlare il mese scorso ad un talk show di La7 (In onda), e ascoltandola mi sono accorto che neanche sostituirla con Bianchi non è servito a farle fare un bagno di umiltà: infatti ha pronunciato delle frasi deliranti come “Sulla scuola non abbiamo fatto errori, al massimo qualche défaillance”, “Non sono pentita dei banchi a rotelle, sa quanti presidi ce li hanno chiesti?”, e infine “Se non fosse stato per me che ho insistito tanto per fare un concorso nel bel mezzo di una pandemia, quest’anno ci sarebbero state ancora meno immissioni in ruolo”. In pratica il canovaccio che ha seguito è stato lo stesso di quand’era ministro: negare i propri errori anche davanti all’evidenza e ostentare i propri presunti meriti con una protervia davvero stomachevole.
Se fossi stato lì in studio le avrei ribattuto che organizzare un concorso nel bel mezzo di una pandemia non è stato affatto un merito: infatti molti professori che lo aspettavano da ANNI non hanno potuto farlo perché il giorno della prova erano positivi o in quarantena, e a causa di questo hanno perso l’occasione della vita. Certo, poi hanno potuto fare una prova suppletiva qualche mese dopo, ma questo li ha costretti a ristudiare tutto da capo, e ad avere delle domande diverse rispetto agli altri candidati: chissà quanti di loro avrebbero fatto bene la prova vera e propria e hanno fatto male la prova suppletiva. Sentirla rivendicare come un grande merito questo scempio mi ha fatto venire voglia di spegnerle la televisione in faccia. Scusami per aver divagato sia in questo commento che in quello precedente.
"Mi piace"Piace a 2 people
Ho messo “mi piace” perchè questa orribile storia è stata riportata così come è accaduta. Ma non potevo leggere cosa più terribile! Non dovremo mai dimenticare l’orrore di questi morti innocenti. Che almeno siano serviti a qualcosa quei sacrifici!!!!
"Mi piace"Piace a 1 persona
Grazie del commento. È la grande responsabilità di mantenere la accesa la lampada della memoria
"Mi piace"Piace a 1 persona
Si, sono d’accordo, non dovremo dimenticare mai, affinche queste mostruosità non accadano più.
"Mi piace""Mi piace"
L’armadio della vergogna con le ante girate contro la parete, proprio una vergogna!
"Mi piace"Piace a 1 persona
E’ proprio così. La giustizia è arrivata con settant’anni di ritardo e nella maggior parte dei casi è stato solo un riconoscimento morale per le vittime, essendo che in tanto tempo gli imputati non erano più individuabili oppure la perché la natura aveva già fatto il suo corso. Ciò che non può essere tollerabile, credo, è stato che anche laddove le sentenze potevano essere notificate, la Procura generale tedesca ha rigettato tutti gli incartamenti per una serie di cavilli, formali o sostanziali cambia poco. Grazie per il contributo
"Mi piace"Piace a 2 people
I tedeschi, già proprio loro, così precisi e puntigliosi nel mettere naso nei bilanci altrui, senza badare troppo a un passato per il quale dovrebbero implorare perdono, ricordo un lontano gesto di Willy Brand e poi niente altro
"Mi piace""Mi piace"